The final launch of the Allmultimedia.org will take place on February 24, 2026
(shortly after the 2026 Winter Olympics).
Dovolená : 23. prosinec 2025 — 29. prosinec 2025
Holidays : December 23, 2025 — December 29, 2025
Oktanové číslo
Z Multimediaexpo.cz
Oktanové číslo je jedna ze základních charakteristik paliv do spalovacích motorů, vyjadřuje odolnost paliva proti samozápalu (projevuje se jako tzv. „klepání“) při kompresi ve válci spalovacího motoru. Je součástí označení paliva, uvádí se např. na stojanech benzínových pump apod.
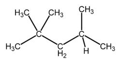
Oktanové číslo paliva vyjadřuje procentuální obsah izo-oktanu ve směsi izo-oktanu (přesněji 2,2,4-trimethylpentanu) s n-heptanem, která je proti samozápalu stejně odolná jako zkoumané palivo (čistý n-heptan má definicí určeno oktanové číslo 0, čistý izo-oktan má určeno oktanové číslo 100). Oktanové číslo však může mít i hodnotu vyšší než 100, což vyjadřuje fakt, že dané palivo je ještě odolnější proti samozápalu než čistý izo-oktan. Například oktanové číslo 95 znamená, že palivo je stejně odolné proti samozápalu jako směs, skládající se z 95 % oktanu a 5 % heptanu.
Obsah |
Zjišťování oktanového čísla
Chování paliva je v referenčním motoru porovnáváno s chováním směsi izo-oktanu a n-heptanu. Podle způsobu měření se rozeznávají dvě definice oktanového čísla:
- Oktanové číslo výzkumnou metodou je určováno při 600 otáčkách za minutu. Je vhodné pro popis městského provozu při nízkých rychlostech a s častou akcelerací.
- Oktanové číslo motorovou metodou je určováno při 900 otáčkách za minutu. Popisuje spíše chování při provozu ve vyšších rychlostech, např. na dálnici. Oktanové číslo motorovou metodou je typicky o cca 10 bodů nižší.
V praxi se téměř všude uvádí pouze oktanové číslo výzkumnou metodou, oktanové číslo motorovou metodou je však definováno v normách.
Antidetonační přísady
Čistý benzín má velmi nízké oktanové číslo. Pro to se do něj přidávají přísady, které jej zvyšují. V minulosti byly nejužívanější sloučeniny olova (hlavně tetraethyl olova a tetramethyl olova). Litr benzínu pak obsahoval několik desetin gramu olova, které je ovšem toxické. Dnes jsou proto příměsi na bázi olova zakázány. Jako antidetonátory se používají např. organokovové sloučeniny manganu, aromatické aminy či halogenidy přechodných kovů.
Oktanová čísla některých paliv
- Automobilový benzín: 87–98, dnes obvykle nejméně 95 (v Evropě) nebo 87 (v USA) V Americe ale udávají oktanové číslo jako aritmetický průměr okt. čísel získaných výzkumnou a motorovou metodou.
- Letecký benzín: cca 87–107
- Závodní benzín: cca 95–130
- Benzín používaný ve Formuli 1: 95–102 (stanoveno pravidly)
- LPG: cca 110
Související články
Externí odkazy
| Náklady na energie a provoz naší encyklopedie prudce vzrostly. Potřebujeme vaši podporu... Kolik ?? To je na Vás. Náš FIO účet — 2500575897 / 2010 |
|---|
| Informace o článku.
Článek je převzat z Wikipedie, otevřené encyklopedie, do které přispívají dobrovolníci z celého světa. |
