Holidays : May 1, 2026, and May 8, 2026 (Public Holidays in the Czech Republic)
Vacaciones : 1 de mayo de 2026 y 8 de mayo de 2026 (Días festivos de la República Checa)
Zpětná vazba
Z Multimediaexpo.cz
Zpětná vazba (také zpětnovazební smyčka) je termín pro situaci (mechanismus, elektronický obvod), kdy výstup nějakého systému ovlivňuje zpětně jeho vstup. Nejčastěji se tento pojem používá v kybernetice, elektroakustice, průmyslové regulaci, automatizaci ale i v technice obecně, dále v biologii, ekonomii, ekologii, systémové dynamice a dalších oborech. Norbert Wiener, považovaný za zakladatele kybernetiky, přirovnával zpětnovazební smyčku ke slepecké holi, která dává slepci zpětnou informaci o jeho pohybu a ovlivňuje tak jeho pohyb následující. Podle efektu, jaký má zpětnovazební smyčka na změnu výchozího stavu, hovoříme o kladné zpětné vazbě nebo o záporné zpětné vazbě.
Obsah |
Historie
Princip zpětné vazby je znám už od pradávna (viz příklady níže). První patent týkající se zpětné vazby ale byl zaregistrován až v roce 1932, kdy Harold Stephen Black patentoval zesilovač s pevným zesílením. V dvacátých letech 20. století byl totiž problém s tím, že zesílení bylo silně závislé na frekvenci zesilovaného signálu. Tuto vadu odstranil Blackův zesilovač použitím zpětné vazby. Proslýchá se, že myšlenka zpětné vazby ho napadla při sobotní ranní procházce na mostě přes řeku Hudson (1927).Kladná zpětná vazba
Pokud zvýšení hodnoty, přiváděné z výstupu na vstup, způsobí další zvýšení hodnoty na výstupu, jedná se o kladnou zpětnou vazbu. Pokud je navíc výsledné zesílení celého cyklu větší než 1, může výstupní hodnota systému nekontrolovatelně růst. Obvykle tento růst samozřejmě narazí na omezení daná charakterem systému, v němž vazba probíhá.
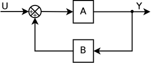
Kladná zpětná vazba se obvykle využívá k zesílení nebo k akceleraci žádoucích jevů. Matematicky je přenos kladné zpětné vazby popsán následujícími rovnicemi. \( Y(s) = A \cdot U(s) + B \cdot A \cdot Y(s) \) \( \frac {Y(s)}{U(s)} = \frac {A}{1 - B \cdot A } \)
Příklady kladné zpětné vazby
Elektroakustika
V elektroakustice způsobuje zpětná vazba známé „pískání“, kdy se výstupní zvuk z reproduktorů dostane zpět na mikrofonní vstup, je zesílen do reproduktorů a zesílený signál opět přijat mikrofonem. Limitem, který nastoupí, je výstupní výkon zesilovače. V menší míře se kladná zpětná vazba využívá k některým speciálním efektům, jako jsou dozvuky elektrických kytar vazbou struna-snímač-odposlech-struna. Tento jev lze pozorovat u moderních gramofonů vybavených magnetodynamickou přenoskou, zvuk z reproduktoru rozechvívá mechanicky přenosku, která tak zafunguje coby zvláštní mikrofonní vstup, gramofon je třeba pro tyto případy vhodně akusticky zatlumit.
Elektronika, komparátor
Kladná zpětná vazba je užita ke stavbě některých binárních elektrických obvodů.
Klimatologie
V klimatologii můžeme najít příklady zpětné vazby v souvislosti s vlivy, které na klima působí. Úbytek zemské plochy pokryté sněhem a ledem znamená větší absorpci slunečního záření půdou, vodou, zastavěnými plochami (snížení albeda) a tím způsobí další tání oblastí sněhu a ledu.
Ekologie
Vymírání rostlinných a živočišných druhů (neboli snižování biodivergence) způsobuje nestabilitu počtu odolnějších druhů, výkyvy teplot a obecně hostilnější prostředí pro rozvoj biologických druhů v dané lokalitě, čímž zpětně snižuje biodivergenci.
Ekonomika
Rozmach prodeje mobilních telefonů v 90. letech 20. století byl stimulován lidmi, kteří jej již měli. Ti poté dokázali přesvědčit ostatní (známé, kolegy z práce), aby si jej také pořídili. Čím jich bylo více, tím rychleji prodej rostl.
Záporná zpětná vazba
Pokud zvýšení hodnoty, přiváděné z výstupu na vstup, způsobí snížení hodnoty na výstupu, jedná se o zápornou zpětnou vazbu. Tento druh vazby se využívá v regulační technice pro udržení stálých parametrů systémů, neboť v případě výskytu výchylky od ustáleného stavu dokáže zpětná vazba působit proti této výchylce a potlačit ji.
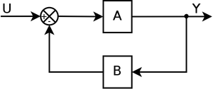
V přenosu se oproti kladné zpětné vazbě pouze změní znaménko ve jmenovateli. \( Y(s) = A \cdot U(s) - B \cdot A \cdot Y(s) \) \( \frac {Y(s)}{U(s)} = \frac {A}{1 + B \cdot A } \)
Příklady záporné zpětné vazby
Regulace teploty vody
Jednou ze zpětných vazeb, se kterou se setkává téměř každý člověk, je nastavení teploty vody. Pokud je voda příliš studená, otevře se více kohoutek s teplou vodou a naopak, když je voda příliš horká, kohoutek teplé vody se přivře. Rychlost nastavení optimální teploty vody, závisí na šikovnosti, neboli na kvalitě zpětné vazby, což je problematika oboru zvaného regulační technika (také kybernetika nebo řídicí technika).
Wattův odstředivý regulátor otáček
Wattův odstředivý regulátor je mechanismus, který se zvyšujícími se otáčkami parního stroje přivírá přívod páry ke stroji a tím jej udržuje v přibližně stejných otáčkách.
Dravec-kořist
Dalším příkladem zpětné vazby může být vývoj dravců (lovců) a kořistí (obětí) ve volné přírodě. Pokud je málo kořisti, začnou dravci vymírat hlady. Tím má kořist méně nepřátel a začne se množit. To pro dravce znamená více potravy, a tak jejich počet začne opět růst. V určitou dobu jich však bude tolik, že počet kořistí začne opět klesat a dravci díky tomu začnou vymírat. Množství kořisti má kladný vliv na množství dravců, zatímco množství dravců má záporný vliv na množství kořisti. Nedochází zde k ustálení populace na konstantní hodnotě, ale ani nedochází k jejímu prudkému nárůstu směrem k nekonečnu. Tento děj je takzvaně na mezi stability a je periodický.
Zpětná vazba a lidský organismus
I když si to možná ani neuvědomujete, zpětná vazba je všude kolem nás. Například to, že dokážeme stát na nohou, aniž bychom spadli, je díky zpětné vazbě. Pomocí našich senzorů polohy jako jsou například oči, vyhodnocuje lidský mozek naši polohu a stimuluje jednotlivé svaly tak, abychom rovnováhu udrželi. Sami si můžete vyzkoušet, že je mnohem obtížnější udržet rovnováhu v momentě, kdy zavřete oči, a navíc do Vás někdo strčí. Došlo totiž k rozpojení zpětné vazby od senzorů zraku. Ptáte-li se, proč však někteří z Vás rovnováhu udrží, je to proto, že oko není ve skutečnosti jediný senzor polohy. Mozek například vyhodnocuje polohu také pomocí tekutiny ve vnitřním uchu. Zásadně je rozpojení zpětné vazby patrné v bezvědomí, kdy se lidské tělo skácí k zemi.
Charakter zpětné vazby
- Podrobnější informace naleznete na stránce: udržitelnost
Z podstaty toho, že výstup procesu, který je ovlivněn zpětnou vazbou, působí v každé iteraci na jeho vstup, naznačuje, že celkový stav zpětnovazební veličiny se bude zvyšovat nebo snižovat geometrickou řadou, čili bude mít exponenciální průběh.
Omezení zpětné vazby
V reálném světě bude průběh veličin, které jsou nějak zapojeny do zpětné vazby omezen zejména ve své:
- plynulosti - exponenciální průběh je ideálním případem, kdy se zpoždění jednotlivých iterací limitně blíží k nule. Místo hladké exponenciely bude reálný průběh více „schodovitý“ (každý schod na grafu bude představovat jednu iteraci), avšak přesto bude mít exponenciální charakter.
- konečnosti - u záporné zpětné vazby dříve či později dojde k setření rozdílu mezi ještě klesající veličinou a její nulovou hodnotou. U kladné zpětné vazby se exponenciálně rostoucí veličina musí dříve či později střetnout s některou z mezí systému.
Systémová dynamika
Zpětná vazba má velkou roli v systémové dynamice, je to jedna ze základních relací mezi entitami a veličinami systémů, které moduluje. Zpoždění mezi obdržením zpětnovazebních informací může být stěžejní v strategii řízení těch nejdůležitějších procesů a demografických či ekonomických ukazatelů (počet obyvatel, hmotná úroveň jednotlivce, objem obchodu, …) v rámci regionu, státu nebo i v globálním měřítku.
Související články
Externí odkazy
| Náklady na energie a provoz naší encyklopedie prudce vzrostly. Potřebujeme vaši podporu... Kolik ?? To je na Vás. Náš FIO účet — 2500575897 / 2010 |
|---|
| Informace o článku.
Článek je převzat z Wikipedie, otevřené encyklopedie, do které přispívají dobrovolníci z celého světa. |
