Návštěvnost dne 8. března 2026 byla — 612 557 unikátních návštěvníků !
Návštěvnost dne 9. března 2026 byla — 590 729 unikátních návštěvníků !
Návštěvnost dne 10. března 2026 byla — 657 697 unikátních návštěvníků !
Chemoterapie
Z Multimediaexpo.cz
Chemoterapie je jakákoli léčebná terapie, spočívající ve vpravování chemických látek do organismu. Jedná se například o antibiotika, virostatika, antipyretika... V lidové řeči se však pod pojmem chemoterapie myslí chemoterapie protinádorová, tedy léčba dávkami cytostatik, tedy látek pro buňky toxických. Tato terapie svým zásahem do buněčného cyklu nádorové buňky této brání v dalším dělení. Avšak tento postup není přesně zacílen, proto léčba cytostatiky postihuje i zdravé buňky.
Obsah |
Dělení chemoterapie
- Neoadjuvantní (= podávaná před operací),
- Kurativní (= podání chemoterapie vedoucí k vyléčení),
- Paliativní (= podávaná pro zlepšení stavu u pokročilých nádorů),
- Adjuvantní (= podávaná po radikální operaci nebo po radioterapii).
Historie
K prvním objevům cytostatik došlo po první světové válce, kdy vojáci, kteří byli v bitně u Ypres zasaženi Yperitem (vzorec C4H8Cl2S). Na tělech vojáků postižených tímto plynem bylo možno vysledovat zhoubný účinek především na rychle se dělící buňky.
Účinky
Podstatou protinádorového působení cytostatik je především to, že na jejich účinek jsou citlivější právě buňky rychle se dělící. Za vyšší citlivostí nádorových buněk některých nádorů na cytostatika stojí to, že nádorové buňky mají obvykle větší či menší měrou poškozené opravné mechanizmy. Pokud je tedy cytostatikem zasažena zdravá buňka, má velkou šanci, že poškození opraví. Naopak nádorová buňka má šance na opravu nižší a s větší pravděpodobností zahyne. Některé typy nádorů však nejsou na cytostatika z různých důvodů citlivé, jejich podání by pak představovalo poškození nemocného. U nádorů se proto hovoří o několika vlastnostech v souvislosti s chemoteriapií:
- chemosenzitivita - nádor je citlivý na chemoterapii
- chemokurabilita - nádor je citlivý na chemoterapii a navíc je podání cytostatik pro pacienta přínosné
- chemorezistence - nádor není citlivý na chemoterapii
Příkladem takového extrémně citlivého a chemokurabilního nádoru je choriokarcinom - tento velmi rychle zabíjející nádor je léčitelný a v drtivé větčině případů i vyléčitelný cytostatiky i ve stádiu orgánových metastáz. Podle rozsahu se v terapii používají protokoly založené na metotrexátu, aktinomycinu D, vepezidu, cyklofosfamidu a derivátech platiny (cis-platina a karboplatina). Naopak příkladem nádorů, které jsou poměrně často chemorezistentní, jsou Maligní melanom nebo Grawitzův nádor ledvin. V obou případech se nádory léčí chirurgicky a biologickou terapií
Nežádoucí účinky
Nežádoucí účinky protinádorové chemoterapie lze rozdělit na:
- Bezprostřední (hodiny - dny)
- Časné (dny - týdny)
- leukopenie (snížení hladiny bílých krvinek)
- trombocytopenie (snížení hladiny krevních destiček)
- vypadávání vlasů
- zánět v dutině ústní
- průjem
- megaloblastóza (přítomnost nezralých červených krvinek v krvi)
- Oddálené (týdny až měsíce)
- chudokrevnost
- azoospermie (vymizení spermií)
- poškození jater
- hyperpigmentace
- plicní fibróza
- Pozdní (měsíce až roky)
- sterilita
- hypogonadizmus (snížená funkce pohlavních žláz)
- sekundární nádory
Pro nemocné velmi nepříjemným nežádoucím účinkem chemoterapie je nauzea (nevolnost) a zvracení. Míra vyjádření je závislá na typu použitého cytostatika. Léčebné protokoly, které obsahují cytostatika se známým velkým potenciálem vyvovat nevolnost a zvracení, automaticky obsahují i léky tuto nevolnost tlumící. Podání chemoterapie bez dostatečné péče o vyvolanou nevolnost, a to včetně prevence vzniku takové nevolnosti, může být hodnocena jako non lege artis postup. V prevenci a terapii zvracení se používají zejména:
- setrony (blokátoky 5-HT3 receptorů pro serotinin) - např. granisetron nebo ondansetron
- metoklopramid (blokátor receptorů pro dopamin))
- 'kortikoidy - např. dexametazon nebo metylprednizon
- neuroleptika - např. haloperidol
- benzodiazepiny - lorazepam v terapii anticipačního zvracení, tj. zvracení objevujícího se ještě před podáním chemoterapie
Příčinou sterility je obvykle to, že pohlavní buňky jsou na působení cytostatik poměrně citlivé. Situace se řeší tím, že se mladým nemocným nabízí ještě před zahájením terapie, kde hrozí sterilita, odběr pohlavních buněk a po vyléčení IVF. Vážným problémem jsou i sekundární nádory, tedy nádory, které se objevují několik let po vyléčení nádoru a nejde o relapsy (znovuvzplanutí) původní choroby. Tyto nádory se obvykle vyznačují silnou malignitou a odolností vůči terapii. Některé skupiny cytostatik mohou mít další nežádoucí účinky. Například cyklofosfamid může způsobit hemorhagicou cystitidu (zánět močového měchýře spojený s krvácením), cytostatika ze skupiny antracyklinů mohou být toxický pro srdeční sval, taxany nebo vinkristin mohou způsobovat poruchy periferních nervů.
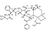
Příklad cytostatika
Související články
| Náklady na energie a provoz naší encyklopedie prudce vzrostly. Potřebujeme vaši podporu... Kolik ?? To je na Vás. Náš FIO účet — 2500575897 / 2010 |
|---|
| Informace o článku.
Článek je převzat z Wikipedie, otevřené encyklopedie, do které přispívají dobrovolníci z celého světa. |
