The final launch of the Allmultimedia.org will take place on February 24, 2026
(shortly after the 2026 Winter Olympics).
Dovolená : 23. prosinec 2025 — 29. prosinec 2025
Holidays : December 23, 2025 — December 29, 2025
Heparin
Z Multimediaexpo.cz
| Heparin | |
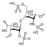
| Vzorec heparinu | |
| Systematické jméno | ? |
| Registrační číslo CAS | 9005-49-6 |
| Sumární vzorec | C12H19NO20S3 |
| Molární hmotnost | 12 000-15 000 g/mol |
Heparin je kyselý mukopolysacharid, široce používaný jako antikoagulant, tedy prostředek snižující srážlivost krve. Heparin používaný ve farmacii je získáván z mukózních tkání masa poražených zvířat, tedy například z prasečích střev nebo kravských plic.
Obsah |
Využití v lékařství
Je účinný při zabraňování srážlivosti krve, dokáže rozpustit krevní sraženiny. Působí na krevní destičky, které jsou klíčové při zaplňování poškozených stěn cév. Lidský organismus obsahuje přírodní heparin. Heparin neničí již existující sraženiny, ale zabraňuje jejich shlukování a rozšiřování. Používá se v následujících případech:
- Syndrom akutního koronárního selhání, např. infarkt myokardu
- Předsíňová (atriální) fibrilace
- Cévní trombóza a pulmonární embolie.
- Hemodialýza
Aplikuje se ve většině standardních případů jako injekční roztok pod kůži, nebo jako infuze do žíly. Po roce 2009 je heparin hojně používán i při léčbě bércových vředů nebo při voperování cévních protéz. Může být také použit preventivně u dlouhodobě nemocných pacientů, připoutaných na lůžko. U těch zabraňuje především krevním sraženinám na plicích (plicní embolii). Působí na krevní destičky, které jsou klíčové při zaplňování poškozených stěn cév.
Dávkování
Klíčové je u heparinu dávkování. Při větším aplikovaném množstvím může pacient vykrvácet. U pacientů záleží především na typu zranění a velikosti rány (dle rozsahu zranění je přesně stanovena specifická dávka heparinu). Za kritickou hranici je považován desetinásobek stanové dávky (1 mililitr), tedy 10 mililitrů čistého heparinu.
Druhy Heparinu
1/ Standardní Endogenní - v intracelulárních granulích bazofilů a žírných buněk v játrech, plicích a v kůži. Exogenní - získává se z různých zvířecích sliznic. 2/ Nízkomolekulární Tento druh se oproti klasickému hůře odhaluje, je potřeba udělat specifické testy. Ty jsou ale finančně náročné, proto se obvykle neprovádějí. Běžné testy tento druh heparinu nezachytí. Heparin používaný ve farmacii je získáván z mukózních tkání masa poražených zvířat, tedy například z prasečích střev nebo kravských plic.
Kdy Heparin škodí
Heparin nesmí užívat pacienti s prokazatelnou přecitlivělostí na tento lék, není vhodné ho podávat ani při stavech se zvýšeným rizikem krvácení. Podání léku v těchto případech by mělo fatální následky.
Nežádoucí účinky
Nežádoucím účinkem při předávkování je právě zvýšení krvácení, anafylaktická reakce nebo případné alergické reakce - horečka, kopřivka, vzácně může nastat i zúžení průdušek. Pro zdravého pacienta bez problémů se srážlivostí však heparin velké nebezpečí nepředstavuje.
Související články
| Náklady na energie a provoz naší encyklopedie prudce vzrostly. Potřebujeme vaši podporu... Kolik ?? To je na Vás. Náš FIO účet — 2500575897 / 2010 |
|---|
| Informace o článku.
Článek je převzat z Wikipedie, otevřené encyklopedie, do které přispívají dobrovolníci z celého světa. |
